Solving Geometric Progression

Solving Geometric Progression. For solving, different types of mathematical problems on geometrical progression, follow some tricks, which help to solve the problems easily: The common ratio multiplied here to.

Geometric Sequence Equation Tessshebaylo
Geometric Sequence Equation Tessshebaylo from www.tessshebaylo.com

To find its n th term, we require the first term and the common ratio. How do you solve geometric progression? In maths, geometric progression (g.p.) is a type of sequence where each succeeding term is produced by multiplying each preceding term by a fixed number, which is called a common ratio.

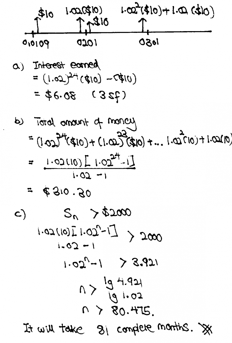
This Video Discuss Paper 2 Question Related To Progression In Form 4.


An example of a geometric progression is The concept is to add each term in the progression. What is minimum value of.

Also, The Answer Key And Explanations Are Given For The Same.


$\begingroup$ you can apply geometric progression after simplification( it will be easier). In maths, geometric progression (g.p.) is a type of sequence where each succeeding term is produced by multiplying each preceding term by a fixed number, which is called a common ratio. Let denote with [tex]a_1, a_2, a_3.[/tex] the geometric progression terms.

The Common Ratio Multiplied Here To.


If an amount ₹ 1000 deposited in the bank with annual interest rate 10% interest compounded annually, then find total amount at the end of first, second, third, forth and first years. If a sequence of terms is such that each term is constant multiple of the preceding term, then the sequence is called a geometric progression (g.p.). Starting with an example, we will head into the problems to solve.

Another Way To Solve For The Sum Is To Use The Σ Calculation Outside The Stat Mode.


Solve the given practice questions based on geometric progression. The geometric progression can be written as: Geometric progression formulas is very important to solve questions in less time.

How Do You Solve Geometric Progression?


[3] 2020/06/04 01:42 under 20 years old /. What is the formula of geometric progression? It's not necessary to apply master's theorem.