Partial Differential Equations Boundary Value Problems

Partial Differential Equations Boundary Value Problems. All manuscripts should be written to be accessible to a broad scientific audience, who are interested in partial differential equations and their applications in environmental. Unit ii part a transforms and boundary value problems;

Boundary Value Problems In Ordinary And Partial
Boundary Value Problems In Ordinary And Partial from www.brainkart.com

What is a partial derivative? Sobolev (1937) who introduced the concept of weak solution in partial differential equations and inaugurated the modern theory of boundary value problems. As we’ll see in the next chapter in the process of solving some partial differential equations we will run into boundary value problems that will need to be solved as well.

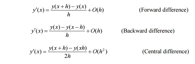
I I 2 [T 0, X,., ∂ Α 0 + Α 1 + ⋯ + Α N ∂ T Α 0 ∂ X 1 Α 1 ⋯ ∂ X N Α N Y I (T 0, X),.] = 0, X ∈ Ω ∀ I 3 = 1,., P 3:


When you have function that depends upon several variables, you can Applied partial differential equations with fourier series and boundary value problems, 5th edition is written by richard haberman and published by pearson. The maple commands are so intuitive and.

Boundary Value Problems For Partial Differential Equations With Piecewise Constant Delay January 1991 International Journal Of Mathematics And Mathematical Sciences 14(2)


Maybe you have knowledge that, people have search hundreds times for their favorite novels like this applied partial differential. A boundary value problem is said to be linear if the operators $ l $ and $ b $ are linear, and homogeneous if. The maple commands are so intuitive and easy to learn, students.

The Section Also Places The Scope Of Studies In Apm346 Within The.


Buy partial differential equations and boundary value problems on amazon.com free shipping on qualified orders partial differential equations and boundary value problems: Partial differential equations with fourier series and boundary value problems 4th edition thank you for downloading applied partial differential equations with fourier series and boundary value problems 4th edition. The digital and etextbook isbns for applied partial differential equations with fourier series and boundary value problems, are 9780321905673, 0321905679 and the print isbns are 9780321797056,.

Boundary Value Problems, Sixth Edition, Is The Leading Text On Boundary Value Problems And Fourier Series For Professionals And Students In Engineering, Science, And Mathematics Who Work With Partial Differential Equations.


1.2 initial and boundary value problems. In this chapter we will introduce two topics that are integral to basic partial differential equations solution methods. The classical theory which is a product of the nineteenth century is concerned with smooth (continuously differentiable) solutions and its methods rely on classical analysis and in particular on.

Partial Differential Equations In Applied Sciences Boundary Value Problems Welcomes Submissions To The Article Collection 'Partial Differential Equations In Applied Sciences'.


As we’ll see in the next chapter in the process of solving some partial differential equations we will run into boundary value problems that will need to be solved as well. Introduction of partial di erential equations and boundary value problems classi cation of 3 common pdes three pdes that are the main focus of this course are wave The classical theory which is a product ofthe nineteenth century, is concerned with smooth (continuously differentiable) sollutions and its methods rely on classical analysis and in.